T.C. Mİllî Eğİtİm BakanlIğI
ŞANLIURFA / KARAKÖPRÜ - Borsa İstanbul Kız Anadolu Lisesi

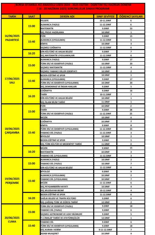
SORUMLULUK SINAVI PROGRAMI

16-20 HAZİRAN TARİHLERİ ARASINDA YAPILACAK "HAZİRAN 2025 DÖNEMİ SORUMLULUK SINAVLARI " PROGRAMIDIR.

Sorumluluk sınava girecek öğrenci listesi için ağıdaki linki tıklayınız.

12130220_sorumludersiolanogrencileroncekisiniflar.pdf

12-06-2025

Paylaş Facebook  Paylaş twitter  Paylaş google  Paylaş linkedin
Yayın: 12.06.2025 - Güncelleme: 12.06.2025 13:05 - Görüntülenme: 96
  Beğen | 0  kişi beğendi